How to choose a suitable centrifuge?
Before choosing a suitable centrifuge, we must know the basic working principle of centrifuges, components, consumables, and the classifications and applications of laboratory centrifuges.1.1 The basic working principle of centrifuges
Centrifuge is the use of centrifugal force, separation of liquids and solid particles or liquids and liquids in the mixture of the components of the machinery. Centrifuge is mainly used for the suspension of solid particles and liquid separation, or emulsion of two different densities, and immiscible liquid separation (for example, from the milk in the separation of cream); it can also be used to exclude the liquid in the wet solids, such as with a washing machine to dry wet clothes; special ultra-fast tubular separator can be separated from different densities of gas mixtures; the use of different densities or sizes of solid particles in liquid The use of different density or size of solid particles in the liquid settlement speed of different characteristics, some sedimentation centrifuges can also be solid particles according to the density or size of the classification.
The working principle of a centrifuge is based on centrifugal force. When the rotor of the centrifuge rotates at high speed, the particles in the sample are moved outwards by the centrifugal force. Particles with different densities are separated due to the different forces applied to them.
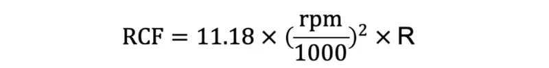
The magnitude of the centrifugal force is determined by the rotational speed and the radius of the rotor and is usually expressed as the relative centrifugal force (RCF).
* Rotational speed (rpm): there is a positive
correlation between relative centrifuge force and rotational speed.
* Relative centrifuge force (relative centrifuge force):
relative centrifuge force is the number of times the centrifugal force acting
on the particles in a centrifugal force field is relative to the earth’s
gravity. 1g means that the centrifugal force is one times the acceleration of
gravity.
The conversion formula for centrifugal force and rotational speed is as follows.
RCF: relative centrifugal force (xg) R: centrifugal radius. Unit: cm
1.2 The components of centrifuge
(1) Motor: The motor is the core component of the centrifuge that generates the rotation.
(2) Rotor assembly: The drive shaft and rotor form the rotor assembly. The drive shaft provides support for the rotor assembly. The rotor head is attached to the motor, which is fitted with a container to hold the test tube containing the sample to be centrifuged. It converts electrical energy into mechanical energy. Two rotors with different diameters can have the same rotational speed. Different radii and angular momentum result in differences in rotor acceleration. For this reason, the relative centrifugal force (rcf) is considered to be the recognised standard unit of rotational speed.
There are two main types of rotors:
(a) Angular rotor:
these rotors hold the tube at an angle of 14 to 40°to the vertical, allowing the pellet to move short distances as it moves radially outwards and are used for differential centrifugation. Because the direction of deposition is the same as the direction of centrifugal force, deposition occurs at an angle to the wall of the tube. The particles (sediment clusters) collide with the wall and settle in the corners of the base and the wall.
(b) Horizontal rotor: These rotors, together with the centrifuge tubes, swing to a horizontal position during acceleration, moving the particles to a greater distance and thus making it easier to separate the supernatant from the sediment.
(3)Adapter: there are various types of adapters, adapted to different shapes and capacities of the basket, such as test tubes, blood bags, multiwell plates, centrifuge tubes, centrifuge bottles, etc., are stored in the rotor, so that the samples rotate with the rotor rotation.
(4) Control panel: It is used to control different parameters, such as temperature, speed (rcf or rpm) and so on.
(5) Latch: The latch keeps the lid closed when a tube breaks or other problems occur while the centrifuge is running.
(6) Lid:The centrifuge will only rotate when the lid is closed and locked to prevent accidents.
(7) Refrigeration system: Suitable for handling temperature-sensitive samples to prevent denaturation of samples due to temperature increase during centrifugation.
(8) Software system: including programmable functions (several-100), precise control of rotational speed, time setting, start-up timer/preset rotational speed timer, pulse centrifugation function, fault information, data logging, and operating privileges.
1.3 Centrifuge consumables.
Centrifugal consumables include a variety of capacity centrifuge tubes (1.5, 2, 5, 15, 25, 50 ml, etc.), test tubes, blood bags, multiwell plates, centrifuge bottles, etc. Among them, high-speed and ultra-high-speed centrifugal consumables, which require high process requirements, higher requirements on the wall thickness of the tubes and materials, and need to be able to withstand greater relative centrifugal force, gas-tight leakage prevention, corrosion resistance, and so on.
1.4 Main classifications and applications of laboratory centrifuges.
A laboratory centrifuge is a piece of laboratory equipment used to separate fluids, gases or liquids based on their density. Separation is achieved by spinning a vessel containing the material at high speed; the centrifugal force pushes the heavier material to the outside of the vessel. Most academic, clinical and research laboratories use this equipment to purify cells, viruses, proteins and nucleic acids. There are several types of centrifuges that can be categorised based on intended use or rotor design, from large floor standing centrifuges to microcentrifuges, there are several types available to researchers.
Based on the size of relative centrifugal force and rotational speed, centrifuges can be divided into:
(1) Low-speed centrifuges: speed range: 4000-8000rpm, centrifugal force range: 1000-10000g; mainly used for separation of coarse particle suspension.
(2) High-speed centrifuge: speed range: 10,000-25,000rpm, centrifugal force range: 50,000g; mainly used for separation of emulsion and fine suspension.
(3) Ultra-speed centrifuge: speed range: 50,000-150,000rpm, centrifugal force range: ≥505,000g; mainly used for separation of ultra-fine particles of suspension and polymer colloid suspension.
Laboratory centrifuges can be classified into the following main types, depending on capacity (micro, medium, large), speed (low, high, ultra-high), temperature control (refrigeration) and purpose:
1.4.1 Microcentrifuge (benchtop)
Suitable for processing small sample volumes (2 ml or less of liquid sample) and commonly used for separation of cell culture supernatants, micro sera and DNA/RNA extraction.
1.4.2 Multifunctional medium throughput centrifuges (benchtop)
Wide range of applications, can handle medium volume samples, commonly used for separation of cell and tissue samples.
1.4.3 High-speed (bench-top and floor-standing) centrifuges
High-speed centrifuges are capable of achieving centrifugal forces in the range of 10,000 ~ 30,000 rpm.
The most common centrifugal forces used in molecular biology experiments are in the range of 14,000 – 20,000 × g. Applications such as the separation of viruses and organelles require forces higher than 30,000 × g.
Applications such as the centrifugation of viruses and organelles require centrifugal forces higher than 30,000 × g, and the higher the better.
High-speed centrifuges are often used for rapid separation of cellular and subcellular fractions, while ultracentrifuges are often used for high-performance applications in cell biology, drug discovery, and nanotechnology such as separation of nucleic acids, proteins, protein complexes, vesicles, and viruses.
High speed centrifugation requires high quality tubes. For the centrifugal separation of proteins, ribosomes, bacterial lysis products, viruses, etc., as well as for the preparation of samples for mass spectrometry, it is recommended to use centrifuge tubes that can withstand high centrifugal forces.
If you have any question for choose a suitable centrifuge, AELAB team and engineers will happy to give you any possible support or choose machine suggestions.

